極座標系における運動方程式
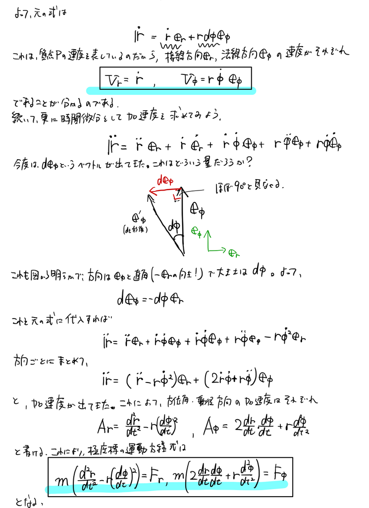
ベクトルを用いた導出です。というかそれ以外の方法に習熟していないのだった。


余談ですが,この画像の解像度に少々悩んでいます。対処するために,2つに
分断したりしてやってるんですが,一枚でキッチリと綺麗に収めたいものです。
全ての学習記録はコチラです。
サイトマップ - たかくんの成長
ベクトルを用いた導出です。というかそれ以外の方法に習熟していないのだった。


余談ですが,この画像の解像度に少々悩んでいます。対処するために,2つに
分断したりしてやってるんですが,一枚でキッチリと綺麗に収めたいものです。
全ての学習記録はコチラです。
サイトマップ - たかくんの成長